Debug/调试
调试实用程序。
Functions
| Python |
|---|
| index_labels(mobject, label_height=0.15, background_stroke_width=5, background_stroke_color='#000000', **kwargs)
|
返回 mobjectsVGroup的一个Integer,显示每个子对象的索引。
对于处理复杂对象的部分很有用。
参数
- mobject ( Mobject ) – 将为其子对象添加标签的 mobject。
- label_height ( float ) – 标签的高度,默认为 0.15。
- background_lines_width – 标签轮廓的描边宽度,默认为 5。
- background_lines_color – 标签轮廓的描边颜色。
- kwargs – 要传递到用于构造标签的 :class
~.Integer mobject 中的附加参数。
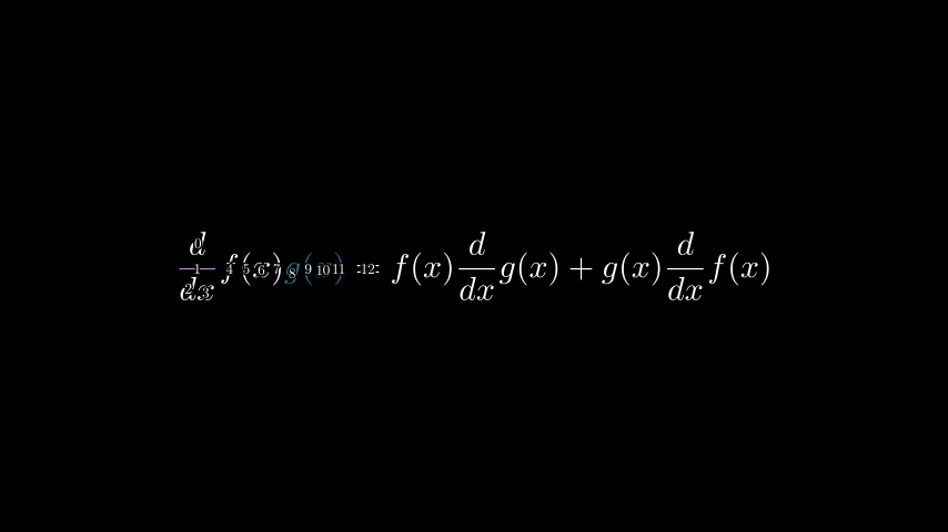
例子
示例:IndexLabelsExample

| Python |
|---|
| from manim import *
class IndexLabelsExample(Scene):
def construct(self):
text = MathTex(
"\\frac{d}{dx}f(x)g(x)=",
"f(x)\\frac{d}{dx}g(x)",
"+",
"g(x)\\frac{d}{dx}f(x)",
)
#index the fist term in the MathTex mob
indices = index_labels(text[0])
text[0][1].set_color(PURPLE_B)
text[0][8:12].set_color(DARK_BLUE)
self.add(text, indices)
|
print_family(mobject, n_tabs=0)
用于调试目的